beat365英国官方网站
陇海书院“一站式”学生社区
学校首页
网站首页
书院简介
一站式服务
下载专区
规章制度
新闻动态
新闻动态
通知公告
党建工作
团学工作
招生就业
通知公告
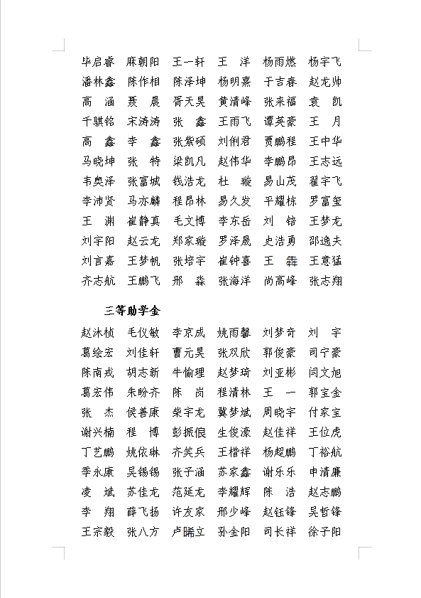
陇海书院国家奖助学金评审结果公示
发布时间:2024-09-21
文章作者:陇海书院
审核:刘燕明 编发:李锐
浏览次数:
85